Transfer: छत्तीसगढ़ पुलिस विभाग में बड़ा फेरबदल, 69 कर्मियों के तबादले ; देखें पूरी लिस्ट यहां..

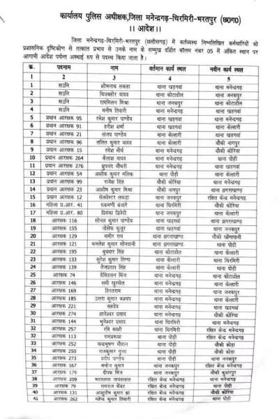
Transfer:छत्तीसगढ़ के मनेंद्रगढ़-चिरमिरी-भरतपुर जिले में पुलिस विभाग में बड़ा फेरबदल किया गया है। पुलिस अधीक्षक रतना सिंह ने प्रशासन को और मजबूत बनाने के लिए 69 पुलिसकर्मियों के तबादले के आदेश जारी किए हैं।
किन पदों पर हुआ बदलाव
जारी आदेश के मुताबिक इस तबादले से कुल 69 पुलिसकर्मी प्रभावित हुए हैं। इनमें 4 सहायक उप निरीक्षक (ASI), 13 प्रधान आरक्षक और 52 आरक्षक शामिल हैं। सभी को जिले के अलग-अलग थानों और पुलिस इकाइयों में नई जिम्मेदारी दी गई है, ताकि कामकाज को और बेहतर और प्रभावी बनाया जा सके।

कार्यकुशलता बढ़ाने पर फोकस
पुलिस विभाग के अनुसार यह तबादला प्रशासनिक आवश्यकता और कार्यकुशलता को बेहतर बनाने के लिए किया गया है। लंबे समय से एक ही स्थान पर पदस्थ कर्मचारियों को बदलकर नई जिम्मेदारियां सौंपी गई हैं, जिससे पुलिसिंग में सुधार और जवाबदेही सुनिश्चित हो सके।

कानून व्यवस्था मजबूत करने की पहल
अधिकारियों का मानना है कि इस तरह के फेरबदल से जिले में कानून-व्यवस्था को और अधिक मजबूत किया जा सकेगा। नई तैनाती के साथ पुलिसकर्मियों से बेहतर प्रदर्शन और जनता के प्रति संवेदनशील व्यवहार की अपेक्षा की गई है।
आदेश तत्काल प्रभाव से लागू
Transfer:एसपी द्वारा जारी यह आदेश तत्काल प्रभाव से लागू कर दिया गया है। संबंधित पुलिसकर्मियों को निर्देश दिया गया है कि वे जल्द से जल्द अपने नए पदस्थापना स्थल पर कार्यभार ग्रहण करें।


